نعرض لكم متابعينا الكرام أهم وأحدث الأخبار فى المقال الاتي: أبرز 6 أدوات ذكاء اصطناعي للمساعدة في حل مسائل الرياضيات - موقع الخليج الان المنشور في الجمعة 7 يونيو 2024 08:40 مساءً
يستخدم العديد من الطلاب أدوات تعمل بالذكاء الاصطناعي لمساعدتهم في الدراسة، ويُعدّ روبوت ChatGPT من OpenAI من أبرز أدوات الذكاء الاصطناعي التي يستخدمها الطلاب للمساعدة في حل مسائل الرياضيات وكتابة التقارير وغير ذلك.
هناك العديد من الأدوات الأخرى التي يمكن للطلاب استخدامها لتحسين مهاراتهم في الرياضيات غير ChatGPT، وتتمتع هذه الأدوات بقدرات كبيرة في حل مسائل الرياضيات المتوسطة والمعقدة وتقديم تفاصيل الحل كاملة.
في هذا المقال سنذكر 6 من أفضل أدوات الذكاء الاصطناعي التي يمكن استخدامها لحل مسائل الرياضيات، وقد اختبرنا جميع الأدوات المذكورة باستخدام مسألتين لتعرّف كيفية تعامل كل أداة مع هذه المسائل والطريقة التي تتبعها في تقديم الحل:
أولًا: الأسئلة المُستخدمة لاختبار أدوات الذكاء الاصطناعي:
لاختبار الأدوات التي سنذكرها في هذا المقال، استخدمنا المسائل التالية:
- ما قيمة b في المسألة التالية:
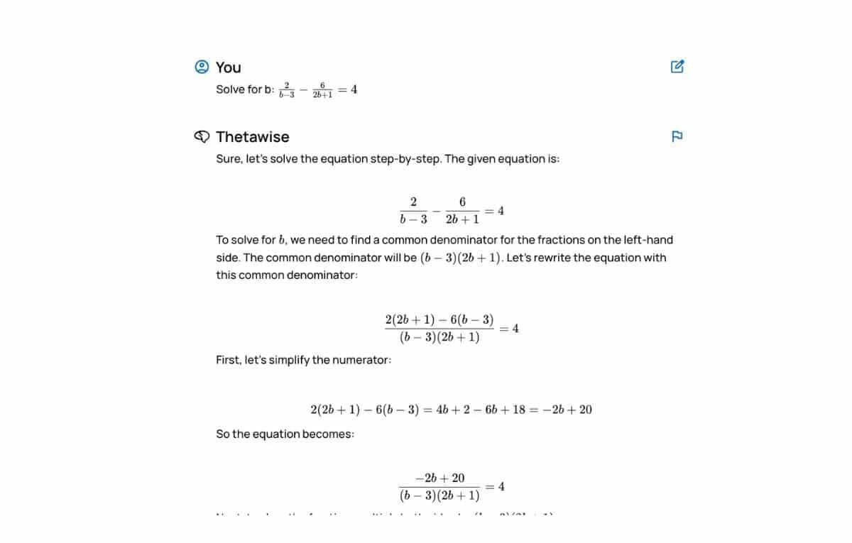
(2 / (b – 3)) – (6 / (2b + 1)) = 4
- تبسيط المسألة التالية:
(4 / 12) + (9 / 8) × (15 / 3) – (26 / 10)
ثانيًا: أدوات ذكاء اصطناعي للمساعدة في حل مسائل الرياضيات:
إليك 6 من أبرز أدوات الذكاء الاصطناعي للمساعدة في حل مسائل الرياضيات:
1- أداة Thetawise:
تقدم أداة Thetawise تفاصيل الحل خطوة بخطوة، وهي سهلة الاستخدام، وما عليك سوى كتابة المسألة الرياضية، وستقدم الأداة الحل بسرعة. ويمكنك أيضًا تحميل صورة لمسألة الرياضيات، وستحلل هذه الأداة الصورة وتمنحك الإجابة.
إليك الإجابة التي حصلنا عليها عند اختبار هذه الأداة باستخدام المسألة الأولى:
إليك الإجابة التي حصلنا عليها عند اختبار هذه الأداة باستخدام المسألة الثانية:
ستلاحظ أن هذه الأداة تمنحك التفاصيل خطوة بخطوة وتشرح كيفية حل كل خطوة حتى تصل إلى الإجابة النهائية، وقد أجابت عن المسألتين بطريقة صحيحة.
2- أداة WolframAlpha:
WolframAlpha هي أداة ذكاء اصطناعي قادرة على حل المعادلات الرياضية المتقدمة والحساب والجبر. ويوفر لك إصدار WolframAlpha المجاني إجابة مباشرة، وأما الإصدار المأجور فيولّد إجابات مفصلة تتضمن جميع الخطوات.
فإذا كنت ترغب في الاستفادة من جميع مزايا WolframAlpha وتعرّف جميع الخطوات المطلوبة للوصول إلى الإجابة النهائية في مسائل الرياضيات المختلفة، يمكنك الاشتراك في إصدار Pro بسعر قدره 5 دولارات شهريًا للخطة السنوية إذا كنت طالبًا.
إليك الإجابات التي حصلنا عليها من هذه الأداة:
المسألة الأولى:
المسألة الثانية:
حلّت أداة Wolfram Alpha كلتا المسألتين بطريقة صحيحة، وقدمت إجابات مفصلة ودقيقة بسرعة.
3- أداة Julius:
تعمل أداة Julius بنحو مشابه جدًا لأدوات الذكاء الاصطناعي الأخرى في هذه القائمة. ومع ذلك، فإن أهم ما يميز هذه الأداة أنها تحتوي على مجتمع مدمج، يمكن للمستخدمين الانضمام إليه لمناقشة مسائل الرياضيات أو النتائج التي حصلوا عليها أو المشكلات التي قد يواجهونها في أثناء استخدام هذه الأداة. ويمكنهم أيضًا تبادل الأفكار بسرعة وتلقي التعليقات أو النصائح.
تستخدم هذه الأداة النموذج اللغوي GPT-4 والنموذج اللغوي Calude-3 وتعتمد على أحدهما للإجابة بناءً على المسألة التي تضيفها. وعند إدخال المطالبة، سيكون لديك خيار لكتابة سؤال أو تحميل صورة، وبعد اختبار هذه الأداة قدمت Julius الحلول الصحيحة كما قدمت خيارات للمساعدة في التحقق من الحل، وفيما يلي الإجابات التي حصلنا عليها:
المسألة الأولى:
المسألة الثانية:
4- أداة Microsoft MathSolver:
تُعد أداة MathSolver من مايكروسوفت من أقدم أدوات الذكاء الاصطناعي، وتُعدّ مناسبة لك إذا كنت تريد أداة قادرة على توفير حلول مجانية خطوة بخطوة للمسائل الرياضية المتعلقة بالتفاضل والتكامل والجبر ومسائل الرياضيات الأخرى.
إليك الإجابات التي حصلنا عليها من هذه الأداة:
المسألة الأولى:
المسألة الثانية:
قدمت أداة MathSolver من مايكروسوفت الإجابات الصحيحة مع إمكانية عرض خطوات الحل جميعها.
5- أداة Symbolab:
تسمح لك Symbolab بتحسين مهاراتك في الرياضيات عبر الاختبارات المتعددة، وتتبع تقدمك، وتقديم حلول للمعادلات الرياضية من أنواع مختلفة، ومنها: التفاضل والتكامل والكسور وقياس المثلثات وغير ذلك.
يمكنك أيضًا استخدام مزية Digital Notebook لتتبع أي مسألة رياضية تحلها ومشاركتها مع أصدقائك. ومن أبرز ما يميز هذه الأداة أنه يمكن للمعلمين استخدامها لإنشاء فصل دراسي افتراضي، وإجراء تقييمات للطلبة، ومشاركة التعليقات معهم وغير ذلك.
إليك الإجابات التي حصلنا عليها من هذه الأداة:
المسألة الأولى:
المسألة الثانية:
لا تعرض هذه الأداة الإجابة وحسب، بل تتيح لك أيضًا عرض الخطوات التفصيلية لطريقة حل المسألة. ويمكنك أيضًا مشاركة الإجابات والخطوات عبر البريد الإلكتروني أو وسائل التواصل الاجتماعي أو طباعتها.
6- روبوت ChatGPT:
إذا كنت تستخدم الإصدار المجاني من ChatGPT، فستتمكن من الوصول إلى نموذجي GPT 3.5 و GPT-4o. وأما في حال الاشتراك في إصدار Plus، ستتمكن من الوصول إلى نموذج GPT-4 الذي يمكن أن يحل المسائل بدقة أكبر بكثير من نموذج GPT-3.5. كما ستتمكن أيضًا من استخدام نموذج GPT-4o الأحدث من OpenAI، وهذا النموذج متوفر أيضًا في الإصدار المجاني.
اختبرنا نموذج GPT-4o وحصلنا على الإجابات التالية:
المسألة الأولى:
المسألة الثانية:
قدم نموذج GPT-4o الإجابات الصحيحة مع توضيح تفاصيل الحل.
تم
